k8凯发-凯发k8 > 科技平台 > 生态地球化学重点实验室 > 开放交流 > 科普活动
人体的基本构成元素(如氨基酸和脂肪酸)主要来自于我们的饮食,我们体内最丰富的元素(即氢、氮、碳和氧)的同位素组成记录了我们平时吃的食物,食用的肉类和蔬菜,喝的水和饮料,所以可以反映一个人平时的生活环境和饮食习惯,不同的同位素组成会告诉我们不同的故事,因此,同位素就像是隐藏在人体中的密码,它忠实地反映着你曾吃过什么,你来自哪里。
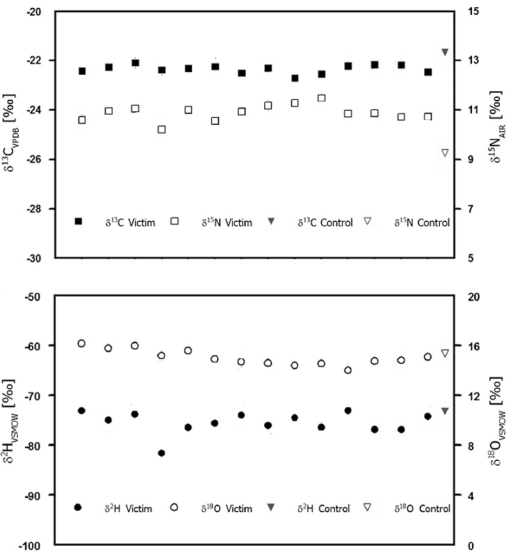
送到实验室的尸检样本有:来自一只手的完整指甲、阴毛、一片大腿骨。实验室对这些样本进行了碳(δ13cvpdb‰)、氮(δ15nair‰)、氢(δ2hvsmow‰)、氧(δ18ovsmow‰)稳定同位素组成分析。

(死者与对照组稳定同位素分析结果)
死者毛发中的h同位素组成与对照组相同,并且与都柏林市的自来水值相近,可以判断死者生前生活在都柏林市;根据指甲不同生长周期的同位素组成推断死者生前半年没有离开过都柏林,或者一直生活在附近。
死者指甲和毛发的碳同位素组成在-22至-24之间,可以判断出死者生前饮食结构里缺少c4类植物,比如玉米,可以排除死者是美洲裔或非裔土著。

植物与人类饮食中的碳13c
股骨皮质骨大约每20到25年重塑一次,根据腿骨的氧同位素,看出死者生前长时间待在都柏林,但他并非出生在这里,如果他在都柏林生活时间超过25年,那他腿骨的氧同位素组成应该在21.2附近,实验室根据死者腿骨的氧同位素组成模拟构建了他来都柏林之前饮水的o同位素值(-1.4),这个同位素值是非常独特的,它表征了炎热的、低纬度地区接近赤道的水的氧同位素组成。根据这个特征,将他的出生地锁定在了5个地区。
|
骨磷酸δ18ο值及饮用水的δ18ο值测量值 |
|||||||||
|
δ18οvsmow(‰)骨磷酸 |
δ18οvsmow(‰)饮用水(根据luz报道) |
δ18οvsmow(‰)饮用水(根据longinelli报道) |
合并平均数 |
95﹪ci |
|||||
|
股骨内侧 |
21.1 |
-3.1 |
-3.3 |
||||||
|
20.8 |
-3.5 |
-3.8 |
|||||||
|
21.7 |
-2.3 |
-3.2 |
|||||||
|
平均值 |
21.2 |
-2.9 |
-3.2 |
-3 |
0.7 |
||||
|
s.d. |
0.5 |
0.6 |
0.7 |
0.6 |
|||||
|
股股外侧 |
22.4 |
-1.4 |
-1.2 |
||||||
|
21.8 |
-2.1 |
-2.2 |
|||||||
|
22.8 |
-0.9 |
-0.7 |
|||||||
|
平均值 |
22.3 |
-1.5 |
-1.4 |
-1.4 |
0.7 |
||||
|
s.d. |
0.5 |
0.6 |
0.7 |
0.6 |
|||||

(构建受害者的地理生活史和到达爱尔兰的时间线)
根据所有的同位素信息,实验室推断出死者大约六七年前来到爱尔兰,出生地可能在索马里、埃塞俄比亚、肯尼亚、厄立特里亚或者乌干达这五个地区,并且在都柏林生活超过6个月,生前生活在都柏林及附近地区。
案件调查组根据这些信息在都柏林进行排查,最后确定死者39岁,肯尼亚人,1998年来到都柏林,凶手也与2006年10月28日抓获归案。